Chemical Engineering
Numerical Methods - Partial Differential Equation
Experiments
Aim
Theory
Pretest
Procedure
Simulation
Posttest
References
Contributors
Feedback
Aim
Theory
Pretest
Procedure
Simulation
Posttest
References
Contributors
Feedback
PDE: Hyperbolic Equation
Step I:
Step II:
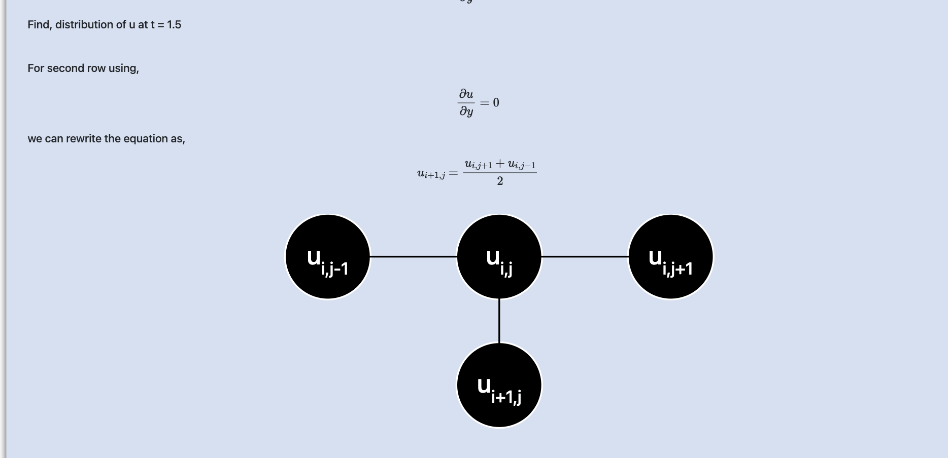
Step III:
Step IV:
Step V: